4-2 / 4-3 삼각함수와 역삼각함수의 도함수
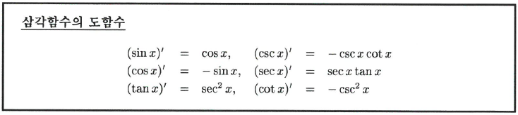
2절 삼각함수의 도함수
사인함수의 덧셈법칙에서
$$sin(x+h)=sinx cosh+cosx sinh$$
이므로
$$sin(x+h)-sinx=sinx(cosh-1)+cosx sinh$$
이 된다. 따라서
$$\begin{align*} (sinx)'=&\lim_{h\rightarrow 0}\frac{sin(x+h)-sinx}{h}\\=&\lim_{h\rightarrow 0}[sinx\frac{cosh-1}{h}+cosx\frac{sinh}{h}]\\=&sinx\lim_{h\rightarrow 0}\frac{cosh-1}{h}+cosx\lim_{h\rightarrow 0}\frac{sinh}{h}\\=&sinx\cdot0+cosx\cdot1\\=&cosx
\end{align*}$$
임을 알 수 있다.
$$cosx=sin(\frac{\pi}{2}-x),\qquad sinx=cos(\frac{\pi}{2}-x)$$
이므로 합성함수의 미분법으로부터
$$\begin{align*} [cosx]'=&[sin(\frac{\pi}{2}-x)]'=cos(\frac{\pi}{2}-x)(\frac{\pi}{2}-x)'\\=&-cos(\frac{\pi}{2}-x)=-sinx \end{align*}$$
가 됨을 알 수 있다. $tanx$의 도함수는 다음과 같이 몫의 미분법으로부터 구할 수 있다.
$$\begin{align*} (tnax)'=&(\frac{sinx}{cosx})'\\=&\frac{(sinx)'cosx-sinx(cosx)'}{cos^2x}-\frac{cos^2x+sin^2x}{cos^2x}\\=&
sec^2x
\end{align*}$$
다음 삼각함수
$$cscx=\frac{1}{sinx},\quad secx=\frac{1}{cosx},\quad cotx=\frac{1}{tanx}$$
에 대한 미분공식도 몫의 미분법으로 구할 수 있다.

3절 역삼각함수와 도함수
사인함수 y=sinx는 주기함수이므로 일대일 대응이 아니다. 따라서 실수 전체집합에서 사인함수의 역함수를 정의할 수 없다. 그러나 정의역을 $[-\pi/2, \pi/2]$로 제한하면 사인함수는 $[-\pi/2, \pi/2]$에서 [-1,1]로 가는 일대일 대응이 된다. 따라서 정의역을 $[-\pi/2, \pi/2]$로 제한한 사인함수는 역함수를 갖는다.
이렇게 정의된 역함수를 역사인함수(inverse sine function)라고 부르고
$$y=arcsinx$$
로 나타낸다. 역사인함수의 정의역은 [-1,1]이고 치역은 $[-\pi/2, \pi/2]$이다.
$$y=acrsinx\quad\Leftrightarrow\quad siny=x,[-\frac{\pi}{2}\leq y\leq \frac{\pi}{2}]$$

코사인함수 $y=cosx$의 정의역을 $[0,\pi]$로 제한하여 얻어지는 코사인함수의 역함수를 역코사인함수(inverse cosine function)라고 부르고
$$y=arccosx$$
로 나타낸다. 역코사인함수의 정의역은 [-1,1]이고 치역은 $[0,\pi]$이다.
$$y=acrcosx\quad\Leftrightarrow\quad cosy=x,[0\leq y\leq \pi]$$

탄젠트함수는 정의역을 $(-\pi/2,\pi/2)$로 제한하면 일대일 대응이 된다. 따라서 역함수를 정의할 수 있는데 이 역함수를 역탄젠트함수(inverse tangent function)라고 부르고
$$y=arctanx$$
로 나타낸다. 역탄젠트함수의 정의역은 $(-\infty,\infty)$이고 치역은 $(-\pi/2,\pi/2)$이다.
$$y=acrtanx\quad\Leftrightarrow\quad tany=x,[-\frac{\pi}{2}\leq y\leq \frac{\pi}{2}]$$


역삼각함수의 미분
사인함수 $y=f(x)=sinx$는 모든 점에서 미분가능하고 $-\pi/2, \pi/2$이면
$$y'=cosx\geq0$$
이므로 역함수 정리에 의하여 역사인함수 $y=arcsinx$는 $-1\leq x \leq1$일 때 미분가능하다. 다시 역함수 정리의 결과를
$$f(x)=sinx,\quad g(x)=arcsinx$$
에 대하여 적용하면
$$g'(x)=\frac{1}{f'(g(x))}=\frac{1}{cos(arcsinx)}$$
이다. $arcsinx=\theta$라고 하면
$$sin\theta=x,\qquad -\frac{\pi}{2}\leq \theta \leq \frac{\pi}{2}$$
이므로
$$cosarcsinx=cos\theta=\sqrt{1-x^2}$$
임을 알 수 있다. 따라서
$$g'(x)=(arcsinx)'=\frac{1}{\sqrt{1-x^2}}$$
을 얻는다.
$(tanx)'=sec^2x\geq0$이므로 역함수정리에 의하여 역탄젠트함수도 미분가능하다. $y=arctanx$라고 하면 $x=tany$이다. 양변을 $x$에 대하여 미분하면
$$1=(sec^2y)y'$$
이고
$$sec^2y=1+tan^2y=1+x^2$$
이므로
$$y'=(arctanx)'=\frac{1}{1+x^2}$$
이다.
