1절 치환적분
미적분의 기본정리에서 볼 수 있듯이 정적분을 구하기 위해서는 부정적분을 구하는 것이 필수적이다. 미분과 적분은 역작용으로 이해할 수 있으므로 모든 미분법칙에는 대응되는 적분법칙이 있다. 예를 들어, 치환적분법(integration by substitution)은 미분의 연쇄법칙에 대응하는 방법이다. 곱의 미분에 대응하는 적분법은 부분적분법(ingetration by parts)이라고 불린다.
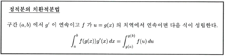
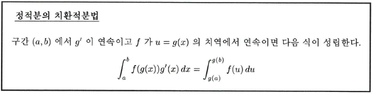
정적분의 치환적분법
이제 정적분 $\int_{a}^{b}f(g(x))g'(x)dx$ 를 구하는 방법을 알아보기로 하자. $F(u)$가 $f(u)$의 한 부정적분이라면 부정적분의 치환적분법에 의하면 $u=g(x)$ 일 때,
$$\int f(g(x))g'(x)dx=\int f(u)du=F(u)=F(g(x))$$
이다. 따라서
$$\begin{align*}\int_{a}^{b}f(g(x))g'(x)dx=&F(g(b))-F(g(a))\\
=&\int_{g(a)}^{g(b)}f(u)du
\end{align*}$$
을 얻는다.

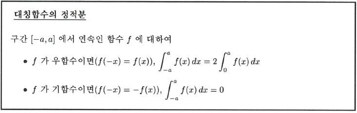
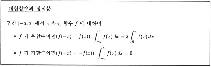
대칭함수의 적분
적분구간이 원점에 대하여 대칭인 경우 즉, 적분구간이 $[-a,a]$인 경우 피적분함수의 대칭성을 이용하면 정적분을 간단히 구할 수 있다. 연속함수 $f$에 대하여 정적분의 성질을 사용하면
$$\begin{align*}\int_{-a}^{a}f(x)dx=&\int_{-a}^{0}f(x)dx+\int_{0}^{a}f(x)dx\\
=&-\int_{0}^{-a}f(x)dx+\int_{0}^{a}f(x)dx
\end{align*}$$
이다. 마지막 식의 첫 번째 정적분에서 $u=-x$로 치환하면 $du=-dx$이고 $x=-a$ 일 때 $u=a$가 된다. 따라서
$$\begin{align*}-\int_{0}^{-a}f(x)dx=&-\int_{0}^{-a}f(-u)(-du)\\
=&\int_{0}^{a}f(-u)du
\end{align*}$$
가 성립한다. $y=f(x)$가 우함수이면 즉,
$$f(-u)=f(u)$$\
이면 $\int_{0}^{a}f(-u)du=\int_{0}^{a}f(u)du$이므로
$$\int_{-a}^{a}f(x)dx=2\int_{0}^{a}f(x)dx$$
이다. 반면에 $y=f(x)$가 기함수이면 즉,
$$f(-x)=-f(x)$$
이면 $\int_{0}^{a}f(-u)du=-\int_{0}^{a}f(u)du$이므로
$$\int_{-a}^{a}f(x)dx=-\int_{0}^{a}f(u)du+\int_{0}^{a}f(x)dx=0$$
이다.


삼각함수와 적분
삼각함수의 반각공식은 배각공식으로부터 쉽게 얻을 수 있다.
$$sin^2x=\frac{1-cos2x}{2},\quad cos^2x=\frac{1+cos2x}{2}$$
이 공식은 삼각함수의 적분에서 중요한 역할을 하므로 기억해 두는 것이 좋다.
$$\int cos^3xdx$$
위 식의 부정적분을 구하면 $cos^3x=(1-sin^2x)cosx$이므로 $sinx=t$로 치환한다. $cosxdx=dt$이므로
$$\begin{align*}\int cos^3xdx=&\int (1-t^2)dt=t-\frac{1}{3}t^3+C\\
=&sinx-\frac{1}{3}sin^3x+C
\end{align*}\\ $$
이다.
위에서처럼 사인이나 코사인의 차수가 하나라도 홀수인 경우 치환법칙에 의하여 부정적분을 항상 구할 수가 있다. 그러나 차수가 모두 짝수인 경우에는 치환에 의하여 부정적분을 구하는 것이 어려워진다. 이런 경우 삼각함수의 반각공식을 이용하여 차수를 낮춘 후 구한다.
$$\int cos^2xdx$$
$cos^2x=\frac{1+cos2x}{2}$이므로
$$\begin{align*}\int cos^2xdx=&\int \frac{1+cos2x}{2}dx\\=&\frac{1}{2}x+\frac{1}{4}sin2x+C
\end{align*}$$
을 얻는다.
무리함수의 적분
삼각함수 치환을 이용하면
$$\sqrt{a^2-x^2},\quad\sqrt{x^2-a^2},\quad\sqrt{a^2+x^2}$$
등의 무리함수를 포함하는 부정적분을 구하는 것이 가능하다. 이러한 함수들의 부정적분을 구하기 위해서는 제곱근 아래의 식
$$a^2-x^2,\quad x^2-a^2,\quad a^2+x^2$$
을 제곱식으로 만들어야 하는데 이는 삼각함수의 항등식
$$sin^2x+cos^2x=1$$
과 양변을 $cos^2x$로 나누어 얻는 식
$$tan^2x+1=sec^2x$$
을 이용하면 가능하다. 즉,
- $x=a\;sin\theta$로 치환하면
$$a^2-x^2=a^2-a^2sin^2\theta=a^2(1-sin^2\theta)=a^2cos^2\theta$$
- $x=a\;sec\theta$로 치환하면
$$x^2-a^2=a^2sec^2\theta-a^2=a^2(sec^2\theta-1)=a^2tan^2\theta$$
- $x=a\;tan\theta$로 치환하면
$$a^2+x^2=a^2+a^2tan^2\theta=a^2(1+tan^2\theta)=a^2sec^2\theta$$
이 되므로 제곱근을 제거할 수 있다.
$$\int \frac{1}{sqrt{1-x^2}}dx=arcsin\;x+C$$
제곱근 아래가 제곱이 되도록
$$x=sin\theta\;\;(\frac{-\pi}{2}<\theta<\frac{\pi}{2})$$
로 치환하면 $dx=cos\theta d\theta$이고
$$\sqrt{1-x^2}=\sqrt{1-sin^2\theta}=cos\theta$$
이다. 따라서
$$\begin{align*}
\int \frac{1}{\sqrt{1-x^2}}dx=&\int \frac{1}{cos\theta}cos\theta d\theta\\
=&\int 1 d\theta\\
=&\theta+C=arcsin\;x+C
\end{align*} $$
을 얻는다.

'생활공학 > 대학기초수학' 카테고리의 다른 글
| 7-4 부피 (0) | 2020.11.27 |
|---|---|
| 7-2 부분적분법 / 7-3 특이적분 (0) | 2020.11.27 |
| 6-4 넓이와 응용 (0) | 2020.11.26 |
| 6-3 미적분의 기본정리 (0) | 2020.11.26 |
| 6-2 정적분 (0) | 2020.11.26 |
댓글