2절 부분적분법
미분가능한 두 함수 $f(x),g(x)$에 대하여 두 함수의 곱에 대한 미분은
$$[f(x)g(x)]'=f'(x)g(x)+f(x)g'(x)$$
으로 주어진다.
부분적분법
양변을 부정적분을 이용하여 나타내면
$$f(x)g(x)=\int [f'(x)g(x)+f(x)g'(x)]dx$$
이 된다. 따라서 다음과 같은 관계식을 얻는다.
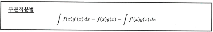
$$\int f(x)g'(x)dx=f(x)g(x)-\int f'(x)g(x)dx$$
이 공식에 의한 적분법을 부분적분법(integration by parts)이라고 한다.

부분적분법은 다음 형태로 바꾸어 쓰면 기억하기가 더 좋다.
$$u=f(x),\qquad v=g(x)$$
라고 놓으면
$$du=f'(x)dx\qquad dv=g'(x)dx$$
이다. 따라서 치환적분법에 의하면 부분적분법은 다음과 같이 쓸 수 있다.
$$\int udv=un-\int v du$$
예를 들어
$$\int x\;sinx\; dx$$
$u=x, dv=sinx\;dx$라고 하면
$$du=dx, v=-cosx$$
이다. 따라서 부분적분법에 의하면
$$\begin{align*}
\int x\;sinx\;dx=&x\cdot(-cosx)-\int (-cosx)\;dx\\
=&-xcosx+\int cosx\;dx\\
=&-xcosx+sinx+C
\end{align*} $$
부분적분법은 두 함수의 곱을 적분할 때 유용한 방법이다. 그러나 하나의 함수도 두 함수의 곱으로 생각할 수 있다. 즉,
$$f(x)=1\cdot f(x)=(x)'\cdot f(x)$$
로 놓으면 하나의 함수의 부정적분도 부분적분법을 이용하여 구할 수 있다.
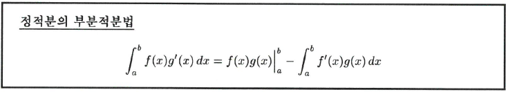
정적분의 부분적분법
$f(x)g(x)=\int [f'(x)g(x)+f(x)g'(x)]dx$이므로 미적분의 기본정리를 적용하면
$$f(x)g(x)|_a^b=\int_{a}^{b}[f'(x)g(x)+f(x)g'(x)]\;dx$$
이다. 따라서 정적분의 부분적분법은 다음과 같이 쓸 수 있다.

3절 특이적분
지금까지 우리는 유한한 닫힌 구간 $[a,b]$에서 정의된 연속인 함수 $f$에 대하여 정적분 $\int_{a}^{b} f(x)\;dx$을 정의하였다. 이 절에서는 두 가지 조건 중에서 적어도 하나가 성립하지 않는 경우의 정적분을 정의한다. 이러한 경우의 정적분을 특이적분(improper integral)이라 부른다.
무한구간에서 정의된 특이적분
1사분면에서 곡선 $y=e^{-x}$아래 있는 영역을 생각해 보자.

이 영역의 넓이는 구간 $[0,\infty)$에서 정의된 정적분의 값으로 이해할 수 있다. 임의의 양수 $t$에 대하여 구간 $[0,t]$에서의 넓이를 $A(t)$라고 하자. 그러면 정적분의 정의에 의하여
$$A(t)=\int_{0}^{t}e^{-x}\;dx=-e^{-x}|_{0}^{t}=1-e^{-t}$$
이다. $t\rightarrow\infty$ 일 때, $A(t)$의 값은 1로 수렴한다. 따라서 빗금친 부분의 넓이는 1이라고 할 수 있다.
일반적으로 무한 구간 $[a,\infty)$에서 정의된 연속함수 $f$에 대하여 $\lim_{t\rightarrow\infty}\int_{a}^{t}f(x)\;dx$ 가 존재하면 $\int_{a}^{\infty}f(x)\;dx$ 을 다음과 같이 정의한다.
$$\int_{a}^{\infty}f(x)\;dx=\lim_{t\rightarrow\infty}\int_{a}^{t}f(x)\;dx$$
이 극한값이 존재할 때 특이적분 $\int_{a}^{\infty}f(x)\;dx$는 수렴한다(converge)고 말한다. 극한 값이 존재하지 않을 때는 발산하다(diverge)고 한다. 특이적분 $\int_{-\infty}^{a}f(x)\;dx$도 비슷한 방법으로 정의한다.

불연속함수의 특이적분
특이적분의다른 형태는 피적분함수가 유한한 구간에서 정의되지만 구간의 한점에서 불연속인 경우에 정의된다. 예를 들어, 1사분면에서 곡선 $y=x^{-\frac{1}{2}}$와 직선 $x=1$에 의하여 만들어지는 영역을 생각해 보자.

우선 $0<t<1$ 일 때, 구간 $[t,1]$에서 영역의 넓이를 구하면 다음과 같다.
$$\int_{t}^{1} x^{-\frac{1}{2}}\;dx=\frac{1}{-\frac{1}{2}+1}x^{\frac{1}{2}}|_{t}^{1}=2(\sqrt{1}-\sqrt{t})$$
주어진 영역의 넓이는 $t\rightarrow 0+$ 일 때의 극한값으로 주어진다. 즉,
$$\int_{0}^{1} x^{-\frac{1}{2}}\;dx=\lim_{t\rightarrow0+}2(\sqrt{1}-\sqrt{t})=2$$
이다. 일반적으로 함수 $f(x)$가 구간 $(a,b]$에서 연속이고 $x=a$에서 불연속이면 특이적분 $\int_{a}^{b}f(x)\;dx$ 는 다음과 같이 정의한다.
$$\int_{a}^{b}f(x)\;dx=\lim_{t\rightarrow a+}\int_{t}^{b}f(x)\;dx$$
함수 $f(x)$가 구간 $[a,b)$에서 연속이고 $x=b$에서 불연속인 경우도 같은 방법으로 정의한다.

특이적분의 비교판정법
특이적분의 정확한 값을 구하는 것은 대부분의 경우 아주 어렵거나 불가능하다. 이런 경우 특이적분의 수렴여부는 다른 함수의 특이적분과 비교하여 판정할 수 있다. 이러한 판정법을 특이적분에 대한 비교판정법(comparison test)이라고 한다.

양의 값을 갖는 함수의 적분은 함수의 그래프와 $x$축 사이의 넓이로 이해할 수 있으므로 비교판정법은 작은 함수의 넓이가 큰 함수의 넓이보다 작다는 사실로부터 유추할 수 있다.
'생활공학 > 대학기초수학' 카테고리의 다른 글
| 7-5 곡선의 길이와 곡면의 넓이 (0) | 2020.11.27 |
|---|---|
| 7-4 부피 (0) | 2020.11.27 |
| 7-1 치환적분 (0) | 2020.11.27 |
| 6-4 넓이와 응용 (0) | 2020.11.26 |
| 6-3 미적분의 기본정리 (0) | 2020.11.26 |
댓글