제 1 절 직교좌표와 벡터
길이, 질량, 속력 등의 양은 크기만 알면 표현이 가능하다. 그러나 이동, 힘, 속도 등은 크기 뿐만 아니라 방향을 알아야 표현이 가능하다, 이렇게 크기와 방향이 주어 진 양을 벡터(vector)라고 한다. 2차원, 또는 3차원 공간에서 벡터는 화살표(arrow), 또는 방향선분(directed line segment)을 이용하여 나타낸다. 화살의 방향은 벡터의 방향을 나타내고, 화살의 길이는 벡터의 크기를 나타낸다. 화살의 꼬리(tail)는 벡터의 시점(initial point), 화살의 머리(head)는 벡터의 종점(terminal point)이라고 부른다. 앞으로 벡터는 a, i, v, x 와 같이 볼드체의 소문자를 이용하여 나타내기로 한다. 벡터와 구분하여 실수는 스칼라(scalar)라는 표현을 사용하고 a, t, x 와 같이 이탤리체 소문자를 사용하여 나타낸다. 다음 그림처럼 벡터 V의 시점 이 A, 종점이 B 인 경우
$$\mathbf{v}=\overrightarrow{AB}$$
로 나타낸다.

같은 크기와 방향을 가진 벡터들은 서로 동둥하다(equivalent), 또는 같다(equal)고 한다. 따라서 다음 그림의 벡터들처럼 크기와 방향은 같지만 위치가 다른 벡터들은 모두 같은 벡터로 간주한다.
동등한 두 벡터 v, w는

$$\mathbf{v}=\mathbf{w}$$
로 나타낸다.
벡터의 연산
어떤 입자가 A에서 B까지 움직였다면 이때 벡터는 $$\overrightarrow{AB}$$로 나타낼 수 있다. 다시 이 입자가 B에서 C까지 움직였다면 이때의 벡터는$$\overrightarrow{BC}$$ 이다. 그러면 이 입자는 결국 A에서 C로 움직인 것이 된다. 이때 두벡터의 합으로 정의한다.
$$\overrightarrow{AC}=\overrightarrow{AB}+\overrightarrow{BC}$$

크기가 0인 벡터를 영벡터(zero vector)라고 부르고, 0로 나타낸다, 임의의 벡터 V 에 대하여
$$ \mathbf{v}+0=0+\mathbf{v}=\mathbf{v}$$
로 정의한다. 시점과 종점이 같은 벡터는 모두 영벡터가 된다.
일반적으로 임의의 두 벡터 V, W 에 대하여 두 벡터의 합 v+w 는 다음과 같은 방법으로 정의한다. 벡터 w 의 시점이 벡터 v 의 종점과 일치하도록 w 를 이동한다. 이때 시점은 v 와 일치하고 종점은 w 와 일치하는 벡터를 v+w 로 정의한다. (왼쪽 그림) 만약 v 와 w 의 시점이 일치하게 놓는다면 v+w 는 v와 w 로 만들어지는 평행사변형의 대각선으로 정의된다.(오른쪽 그림)

정의에 의하면 두 벡터 v+w 와 w+v 는 같음을 알 수 있다.
$$\mathbf{v+w}=\mathbf{w+v}$$

영벡터가 아닌 벡터 V 에 대하여 -V 는 V 와 크기는 같고 방향은 반대인 벡터로 정의한다. 이때
$$\mathbf{v+(-v)}=0$$
이 된다.

두 벡터의 차(difference)는
$$\mathbf{v-w}=\mathbf{v+(-w)}$$
로 정의한다.(왼쪽 그림) 만약 v와 w의 시점을 같은 위치에 놓는다면 v - w 는 w 의 종점에서 v의 종점으로 가는 벡터가 된다.(오른쪽 그림)

영벡터가 아닌 벡터 v의 상수곱(scalar multiple) kv 는 크기가 벡터v의 lkI 배이고 k>0 이 면 v 와 같은 방향, k<0 이면 v와 반대방향인 벡터이다. 특히,
$$(-1)\mathbf{v}=\mathbf{-v} \qquad 0\mathbf{v}=0$$
으로 정의한다. w 가 v의 상수곱이면 두 벡터는 평행하다(parallel)고 하고
$$\mathbf{v} / / \mathbf{w}$$
로 나타낸다.

직교좌표계의 벡터
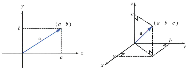
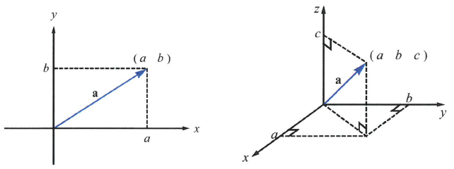
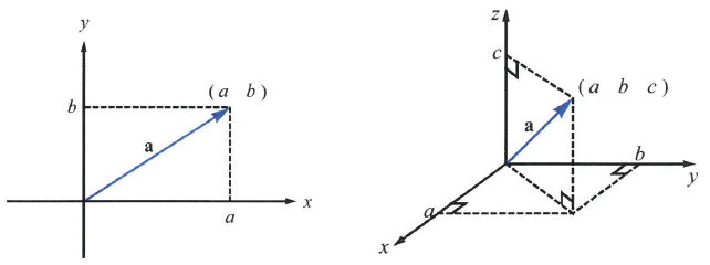
벡터를 포함하는 많은 문제들은 직교좌표계를 이용하면 대수적으로 간단하게 표현할 수 있다. 평면은 두 개의 좌표축을 갖는 좌표평면으로, 공간은 세 개의 좌표축을 갖는 좌표공간으로 생각할 수 있다. 이때 좌표평면의 점은 두 실수의 순서쌍 (a,b) 로, 좌표공간의 점은 세 실수의 순서쌍 (a,b,c) 로 나타낸다. 시점이 원점이고 종점이 (a, b), 또는 (a, b, c)인 벡터를 a 라고 할 때
$$\mathbf{a}=(\mathbf{a}=\bigl(\begin{smallmatrix}
a & b
\end{smallmatrix}\bigr), \qquad or \qquad \mathbf{a}=\bigl(\begin{smallmatrix}
a & b & c
\end{smallmatrix}\bigr)$$
로 나타낸다.

이때 a 를 점 (a,b) 또는 (a, b, c) 의 위치벡터(position vector)라고 부르고 실수 a, b, 또는, a, b, c 를 a 의 성분(components)이라고 한다. 모든 평면, 또는 공간의 점은 위치벡터와 일대일 대응을 할 수 있으므로 특별히 혼동의 위험이 없는 한 순서쌍 (a, b, c) 를 벡터대신 사용하기로 한다. 따라서 순서쌍 (a,b,c) 는 경우에 따라서 공간의 점을 나타내기도 하고 공간에서 원점을 시점으로 하는 위치벡터를 나타내기도 한다.
공간의 두 점 A(a1,a2,a3)와 B(b1,b2,b3)를 각각 시점과 종점으로 하는 벡터는
$$\overrightarrow{AB}$$
로 나타낸다. 이 벡터를 평행이동하여 원점 O가 벡터의 시점이 되도록 하면 그 종점의 좌표 C는
$$C(b_1-a_1,b_2-a_2,b_3-a_3)$$
이 되고
$$\overrightarrow{AB}=\overrightarrow{OC}=\bigl(\begin{smallmatrix}
b_1 -a_1 & b_2-a_2 & b_3-a_3
\end{smallmatrix}\bigr)$$
가 된다. 따라서 모든 벡터는 동등한 위치벡터를 가지며 위치벡터의 종점과 같은 성분을 갖는다.
벡터의 크기
벡터 u의 길이를 벡터의 크기(norm)라고 하고 llull 로 나타낸다. 따라서 2차원 공간의 벡터 v = (v1,v2) 의 크기는
$$\left \| \mathbf{v} \right \|=\sqrt{v_1^2+v_2^2}$$
3차원 벡터 v = (v1,v2,v3) 의 크기는
$$\left \| \mathbf{v} \right \|=\sqrt{v_1^2+v_2^2+v_3^2}$$
이다. 크기가 1 인 벡터는 단위벡터(unit vector)라고 부른다. 영벡터가 아닌 벡터 v에 대하여 같은 방향의 단위벡터는 벡터의 크기로 v 를 나누어 주면 얻어진다. 다시 말해서
$$\mathbf{u}=\frac{\mathbf{v}}{\left \| \mathbf{v} \right \|},\qquad \mathbf{v}\neq 0$$
는 v와 같은 방향의 단위벡터이다.
공간의 두 점 A(a1, a2, a3), B(b1, b2, b3) 을 시점과 종점으로 하는 벡터의 크기는 두 점 사이의 거리와 일치한다.
$$\left \| \overrightarrow{AB} \right \|=\sqrt{(b_1-a_1)^2+(b_2-a_2)^2+(b_3-a_3)^2}$$
두 벡터 v = (v1,v2,v3), w = (w1,w2,w3) 는 각 성분이 같으면 같은 벡터이다. 다시 말해
$$v_1=w_1,\quad v_2=w_2, \quad v_3=w_3$$
이면
$$\mathbf{v=w}$$
이다. 벡터의 합과 상수곱은 벡터의 성분별로 계산이 가능함은 다음 그림에서 이해할 수 있다.
$$\mathbf{a+b}=(a_1+b_1,a_2+b_2),\qquad k\mathbf{a}=(ka_1,ka_2)$$

또한 벡터의 차이는 성분의 차이를 계산하면 얻어진다. 다시 말해서
$$\mathbf{a-b}=\mathbf{a+(-b)}=(a_1,a_2)+(-b_1,-b_2)=(a_1-b_1,a_2-b_2)$$
이다. 이 식을 이용하면 벡터의 시점이 원점이 아닌 경우도 위치벡터를 이용하여 나타내는 것이 가능하다. 공간의 두 점 A(a1, a2) 와 B(b1,b2) 를 시잠과 종점으로 하는 벡터는
$$\overrightarrow{AB}=(b_1-a_1,b_2-a_2)=(b_1,b_2)-(a_1,a_2)=\overrightarrow{OB}-\overrightarrow{OA}$$
가 된다. 다시 말해서, 종점의 위치벡터에서 시점의 위치벡터를 뺀 것이 된다.

표준 단위 벡터
공간의 임의의 벡탸 (a1, a2, a3) 는 다음과 같이 나타낼 수 있다.
$$(a_1,a_2,a_3)=(a_1,0,0)+(0,a_2,0)+(0,0,a_3) = a_1(1,0,0)+a_2(0,1,0)+a_3(0,0,1)\qquad (1.1)$$
다시 말해서, R 임의의 벡터는 세 벡터 (1,0,0), (0,1,0), (0,0,1) 의 일차결합(linear combination)으로 표현하는 것이 가능하다. 여기서 이 세 벡터를 표준 단위 벡터(standard unit vector)라고 하고 각각 i,j,k 로 나타낸다.
$$\mathbf{i}=(1,0,0),\qquad \mathbf{j}=(0,1,0)\qquad \mathbf{k}=(0,0,1)$$
이 표현을 이용하면 식 (1.1) 은 다음과 같이 쓸 수 있다.
$$(a_1,a_2,a_3)=a_1\mathbf{i}+a_2\mathbf{j}+a_3\mathbf{k}$$
표준단위벡터 i,j,k 는 모두 단위벡터 이고 각각 x축, y축, z축의 양의 방향을 가리킨다.

n-벡터
자연수 n에 대하여 순서쌍
$$(a_1,a_2,\cdots ,a_n)$$
의 집합을 R 으로 나타내고 n 차원 공간(n-dimensional space)이라고 부른다. 즉,
$$\mathbb{R}^n=\left \{ (a_1,a_2,\cdots ,a_n) : a_i\in \mathbb{R},i=1,2,\cdots,n \right \}$$
이다. 여기서 ai 를 i번째 성분이라고 한다. (a1,a2,..., an) 은 n차원 공간에서 한 점을 나타내기도 하고 원점을 시점으로 하는 n벡터를 나타내기도 한다. n = 1 이면 R은 직선의 점들과 실수를 일대일대응시키는 수직선을, n = 2 이면 R^2 는 좌표평면을, n = 3 이면 R^3 는 좌표공간을 나타낸다. 이때 n>4 이면
$$(a_1,a_2,\cdots ,a_n)$$
을 기하학적으로 나타낼 수는 없지만 n=2 일 때와 같은 방법으로 합과 스칼라곱을 정의한다. 다시 말해서
$$\mathbf{v}=(v_1,v_2,\cdots ,v_n),\qquad \mathbf{w}=(w_1,w_2,\cdots ,w_n)$$
와 스칼라 k에 대하여
$$\mathbf{v+w}=(v_1+w_1,v_2+w_2,\cdots,v_n+w_n)\\k\mathbf{v}=(kv_1,kv_2,\cdots,kv_n)$$
으로 정의한다. 평면벡터에서와 같은 방법으로 두 벡터의 차는
$$\mathbf{v-w}=\mathbf{v+(-w)}=(v_1-w_1,v_2-w_2,\cdots,v_n-w_n)$$
으로 정의한다. 이렇게 벡터의 연산은 성분별로 이루어지므로 실수의 연산의 성질이 대부분 벡터의 연산에 대하여도 성립한다.

이러한 벡터의 연산을 이용하면 R^n의 벡터들을 성분으로 나타내지 않고도 다룰 수가 있다. 예를 들어 벡터방정식
$$\mathbf{x+w}=\mathbf{v}$$
를 만족하는 벡터 x는 다음과 같은 연산과정을 통하여 구할 수 있다.
$$\mathbf{(x+u)+(-u)} = \mathbf{v+(-u)}\\
\mathbf{x+(u-u)}=\mathbf{v-u} \\
\mathbf{x+0} = \mathbf{v-u}\\
\mathbf{x} = \mathbf{v-u}$$
2 차원 벡터, 또는 3 차원 벡터처럼 기하학적으로 표현을 할 수 없는 경우에도 여러 경우의 정의가 같은 방식으로 주어 진다. v=(v1,v2,...,vn) 의 크기는
$$\left \| \mathbf{v} \right \|=\sqrt{v_1^2+v_2^2+\cdots+v_n^2}$$
으로 정의한다. R^n 의 n개의 벡터 (1,0,0,...,0),(0,1,0,.. .,0),....,(0,0,0, . . . ,1) 을 각각 e1,e2,..., en 으로 나타내고 표준단위벡 터라고 부른다.
$$\mathbf{e_1}=(1,0,0,\cdots,0),\mathbf{e_2}=(0,1,0,\cdots,0),\cdots,\mathbf{e_n}=(0,0,0,\cdots,1)$$
일반적인 n 벡터 (a1 , a2 , … , an) 은 다음과 같이 표준단위벡터의 일차결합으로 나타낼 수 있다.
$$(a_1,a_2,\cdots,a_n)=a_1e_1+a_2e_2+\cdots+a_ne_n$$
'생활공학 > 대학기초수학' 카테고리의 다른 글
| 2-1 수열 (0) | 2020.11.19 |
|---|---|
| 1-5 역행렬과 선형방정식계 (0) | 2020.11.18 |
| 1-4 행렬 (0) | 2020.11.18 |
| 1-3 직선과 평면의 방정식 (0) | 2020.11.18 |
| 1-2 벡터의 내적 (0) | 2020.11.18 |
댓글