극산의 계산
x가 a보다 크면서(또는 a의 오른쪽에서)a로 갈 때 $x\rightarrow a^+$로 나타낸다. a보다 작으면서(또는 a의 왼쪽에서)a로 갈 때는 $x\rightarrow a^-$로 나타내기로 한다.
좌극한과 우극한
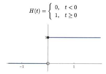
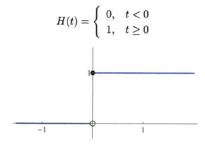
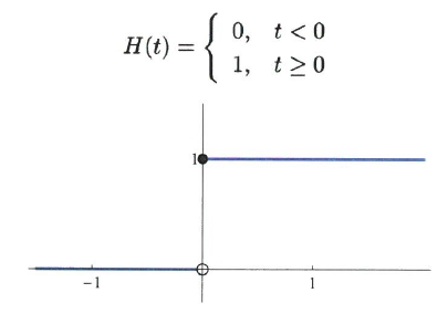
다음과 같이 정의된 헤비사이드 함수(Heaviside function)의 $t=0$에서 극한 값을 생각해 보자.

이 경우 $t\rightarrow 0^+$일 때 $H(t)$는 항상 1에 가까워지지만 $t\rightarrow 0^-$이면 항상 0 이다. 그러므로 t가 0에 가까워지면서 H(t)가 가까워지는 단 하나의 수는 존재하지 않는다. 다시 말해서
$$\lim_{t\rightarrow 0}H(t)$$
는 존재하지 않는다. 그러나 $t\rightarrow 0^+$이면 $ H(t)\rightarrow 1$이고 $t\rightarrow 0^-$이면 $ H(t)\rightarrow 0$이다.
$$\lim_{t\rightarrow 0^+}H(t)=1,\quad \lim_{t\rightarrow 0^-}H(t)=0$$
여기서 1은 0에서의 우극한값(right-hand limit), 0은 0에서의 좌극한값(left-hand limit)이라고 한다. 일반적인 경우의 정의는 다음과 같다.

우극한 또는 좌극한은 존재할 때도 있고 존재하지 않을 때도 있다. 또한 두 극한이 모두 존재하는 경우, 두 극한이 다를 수도 있고 같을 수도 있다. 두 극한이 존재하면서 일치하면 극한값이 존재하며 이 경우 일치하는 값이 극한값이 된다.

$[x]$를 $x$를 넘지않는 최대정수라고 하자. 예를 들어
$$[1]=1, \quad [1.9]=1, \quad[-1.1]=-2,\quad \cdots$$
이다. $f(x)=[x]$를 최대정수함수(greatest integer function)라고 한다. 닫힌 구간 $[a,b]$에서 정의된 함수 $y=f(x)$에 대하여 양 끝점 $a,b$에서의 극한값은 우극한값과 좌극한값으로 각각 정의한다. 다시 말해서
$$\lim_{x\rightarrow a^+}f(x)=L_1,\quad \lim_{x\rightarrow b^-}f(x)=L_2$$
이면 $f$는 $a$에서 극한값 $L_1$, $b$에서 극한값 $L_2$를 갖는다고 한다.
수직점근선

예를 들어

$$\lim_{x\rightarrow -1^-}\frac{1}{1-x^2}=-\infty,\quad \lim_{x\rightarrow -1^+}\frac{1}{1-x^2}=\infty\\\lim_{x\rightarrow 1^-}\frac{1}{1-x^2}=\infty,\quad \lim_{x\rightarrow 1^+}\frac{1}{1-x^2}=-\infty$$이다.
다음의 네 경우
$$\lim_{x\rightarrow a^+}f(x)=\infty,\quad \lim_{x\rightarrow a^-}f(x)=\infty,\quad \lim_{x\rightarrow a^+}f(x)=-\infty,\quad \lim_{x\rightarrow a^-}f(x)=-\infty$$
$x$가 $a$에 가까워지면 함수의 그래프는 수직선 $x=a$와 만나지는 않지만 아주 가까워진다. 이 중 하나라도 성립하면 $x=a$를 $y=f(x)$의 수직점근선(vertical asymptote)이라고 부른다.

0/0꼴의 극한값
분수식 $\frac{f(x)}{g(x)}$의 극한값에 대하여 좀 더 살펴보기로 한다. $\lim_{x\rightarrow a}f(x), \lim_{x\rightarrow a}g(x)$가 존재하고 $\lim_{x\rightarrow a}g(x)\neq0$이면
$$\lim_{x\rightarrow a}\frac{f(x)}{g(x)}$$
이 성립한다. 그렇다면 $\lim_{x\rightarrow a}g(x)=0$인 경우는 어떻게 될까? 이 경우는 다음 두가지로 나누어 생각해 볼 수 있다.
$$1. \lim_{x\rightarrow a}f(x)\neq0 \qquad\qquad2. \lim_{x\rightarrow a}f(x)=0$$
첫 번째 경우는 $x=a$가 수직점근선이 됨을 살펴보았다.
두 번째 경우는 0/0꼴이 되는데 이런 경우는 분모가 0이 아닌 극한값을 갖도록 대수적인 계산을 해 준 후 극한값을 구한다.
부정형의 계산
지금까지 $\frac{0}{0},\frac{\infty}{\infty}$꼴의 극한값을 구했다. 일반적으로
$$\frac{0}{0},\quad\frac{\infty}{\infty},\quad\infty-\infty,\quad0\cdot\infty$$
꼴의 극한을 부정형(indeterminate form)이라고 하는데 경우에 따라 적절한 계산을 하여 극한값을 구할 수 있다.
압축정리
극한에 대한 다음 두 정리는 극한값을 구하는 또 다른 방법에 대한 것이다.

다음 결과는 주어진 함수가 다른 두 함수 사이의 값을 갖는 경우를 다루기 때문에 샌드위치 정리(Sandwich Theorem), 또는 압축 정리(Squeeze Theorem)라고 부른다.

치환에 의한 극한값의 계산
구하고자 하는 극한값의 함수가 복잡한 경우 치환에 의하여 우리가 이미 알고 있는 함수의 극한값으로 변형하는 방법을 사용한다. 예를 들어, $x\rightarrow 0$이면 $u=2x\rightarrow 0$이다. 따라서
$$\begin{align*}\lim_{x\rightarrow 0}\frac{sin2x}{x}=&\lim_{x\rightarrow 0}\frac{sin2x}{2x}\cdot 2\\=&\lim_{u\rightarrow 0}\frac{sinu}{u}\cdot2=1\cdot2=2 \end{align*}$$
가 된다. 또한 $x\rightarrow\infty$이면 $u=1/x\rightarrow 0$이다. 따라서
$$\begin{align*}\lim_{x\rightarrow \infty}\sqrt{x}sin\frac{1}{x}=&\lim_{u\rightarrow 0}\frac{1}{\sqrt{u}}sinu\\=&\lim_{u\rightarrow 0}\frac{sinu}{u}\sqrt{u}=1\cdot0=0 \end{align*}$$
을 얻는다.
'생활공학 > 대학기초수학' 카테고리의 다른 글
| 3-1 평균변화율과 순간변화율 (0) | 2020.11.20 |
|---|---|
| 2-5 연속함수 (0) | 2020.11.20 |
| 2-3 함수의 극한 (0) | 2020.11.19 |
| 2-2 급수 (0) | 2020.11.19 |
| 2-1 수열 (0) | 2020.11.19 |
댓글