1절 수열
수를 순서대로 배열한 것을 수열(sequence)이라 부른다. 즉, 수열이란 자연수의 집합
$$\mathbb{N}=\left \{1,2,3,... \right \}$$
에서 정의된 함수이다. 예를 들어 수열
$$(1,\frac{1}{2},\frac{1}{3},\frac{1}{4},...)$$
에서 초항은 1, 둘째 항은 1/2이고, n 번째 항은
$$a_n=\frac{1}{n},\quad n\geq1$$
이다. 이때 $a_n$을 일반항이라고 한다. 수열은 다음과 같이 그래프를 이용하여 나타낼 수도 있다.

이 그래프에서 $a_n=1/n$은 n이 커질수록 0에 가까워짐을 알 수 있다. 이때 이 수열의 극한값(limit of sequence)은 0 이라고 하고
$$\lim_{n\rightarrow\infty}a_n=\lim_{n\rightarrow\infty}\frac{1}{n}=0$$
이라고 표현한다. 일반적으로 n이 커짐에 따라 $a_n$의 값이 L에 가까워질 때 수열 $a_n$은 극한값 L을 갖는다고 하고
$$\lim_{n\rightarrow\infty}a_n=L$$
이라고 쓴다.

수렴하지 않는 수열$(a_n)$에 대하여 n이 커짐에 따라 $a_n$이 커질 때, 수열$(a_n)$은 양의 무한대로 발산한다(diverges to $\infty$)고 말하고
$$ \lim_{n\rightarrow\infty}a_n=\infty$$
로 나타낸다. 마찬가지로 수렴하지 않는 수열 $(a_n)$에 대하여 n이 커짐에 따라 $(a_n)$이 작아질 때, 수열 $(a_n)$은 음의 무한대로 발산한다(diverges to $\infty$)고 말하고
$$ \lim_{n\rightarrow\infty}a_n=-\infty$$
로 나타낸다.

수렴하는 수열의 기본 성질
수열의 극한값을 구하기 위해서는 다음과 같은 사실들을 사용할 수 있다.


자연상수
자연상수 e는
$$ \\e=\lim_{n\rightarrow\infty}a_n=(1+\frac{1}{n})^n$$
로 정의한다.
단조 수열
모든 $n\geq1$에 대하여
$$a_{n+1}\geq a_n$$
이면 수열 ($a_n$)은 증가수열(increasing sequence)이라고 한다. 모든 $n\geq 1$에 대하여
$$a_{n+1}\leq a_n$$
이면 수열 ($a_n$)은 감소수열(decreasing sequence)이라고 한다. 증가수열 또는 감소수열을 단조수열(monotone sequence)이라고 부른다.
유계인 수열
수열 ($a_n$)이 주어졌을 때, 모든 n에 대하여
$$a_n\leq M$$
인 실수 M이 존재하면 수열 ($a_n$)은 위로 유계(bounded above)라고 한다. 마찬자기로, 모든 n에 대하여
$$a_n \geq m$$
인 실수 m이 존재하면 수열 ($a_n$)은 아래로 유계(bounded below)라고 한다. 위로 유계이면서 아래로도 유계인 수열을 유계인 수열(bounded sequence)이라고 한다. 수렴하는 모든 수열은 유계이다. 일반적으로 그 역은 참이 아니다. 그러나 단조수열인 경우 유계이면 그 수열은 항상 수렴한다는 것이 알려져 있다.

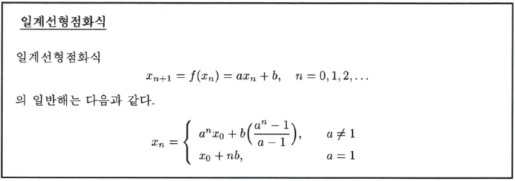
일계선형점화식
초항이 a이고 공차가 d인 등차수열 $(x_n)$은 모든 n에 대하여 다음과 같은 관계식을 만족한다.
$$x_{n+1}=x_n+d$$
또한 초항이 a이고 공비가 r인 등비수열 $(x_n)$은 모든 n에 대하여 다음과 같은 관계식을 만족한다.
$$x_{n+1}=rx_n$$
이와 같이 어떤 규칙에 의하여 정의되는 수열은 앞, 뒤 항 사이의 관계식으로 표현할 수 있다. 앞의 항을 이용하여 뒤의 항이 정의되는 식을 점화식(recursive equation)이라고 한다.
다음과 같이 함수 $f$가 일차식인 경우 점화식을 일계선형점화식(first order linear recursive equation)이라고 한다.
$$x_{n+1}=f(x_n)=ax_n+b,\quad n=0,1,2,...$$
$n=0,1,2$에 대하여 계산해 보면
$$\begin{align*} &x_1=ax_0+b
\\&x_2=ax_1+b=a(ax_0+b)+b
=a^2x_0+(a+1)b
\\&x_3=ax_2+b=a(a^2x_0+(a+1)b)+b=a^3x_0+(a^2+a+1)b\end{align*}\\$$
이고 일반적으로 다음 식이 성립한다.
$$x_n=a^nx_0+(a^{n-1}+a^{n-2}+\cdots+a+1)b$$
$a\neq 1$이면 두 번째 항은 공비가 a인 등비수열의 합이므로
$$x_n=a^nx_0+b\frac{a^n-1}{a-1}$$
이다. $a=1$이면
$$x_n=x_0+nb$$
이다.

'생활공학 > 대학기초수학' 카테고리의 다른 글
| 2-3 함수의 극한 (0) | 2020.11.19 |
|---|---|
| 2-2 급수 (0) | 2020.11.19 |
| 1-5 역행렬과 선형방정식계 (0) | 2020.11.18 |
| 1-4 행렬 (0) | 2020.11.18 |
| 1-3 직선과 평면의 방정식 (0) | 2020.11.18 |
댓글